Page 173 - AA 2023 Year Book Website
P. 173
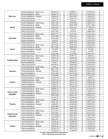
POPULATION
Total Population - Both sexes 36304.41 X 36688.77 X 37076.58 X
Total Population - Male 18281.79 X 18474.96 X 18665.66 X
Morocco Total Population - Female 18022.62 X 18213.82 X 18410.92 X
Rural population 13557.26 X 13519.12 X 13474.54 X
Urban population 23077.9 X 23551.6 X 24022.96 X
Total Population - Both sexes 4602.768 X 4543.399 X 4520.471 X
Total Population - Male 2924.701 X 2820.785 X 2761.768 X
Oman Total Population - Female 1678.067 X 1722.614 X 1758.703 X
Rural population 728.113 X 706.73 X 682.83 X
Urban population 4273.762 X 4442.97 X 4587.397 X
Total Population - Both sexes 4909.775 X 5019.401 X 5133.392 X
Total Population - Male 2446.813 X 2502.621 X 2560.425 X
Palestine Total Population - Female 2462.962 X 2516.78 X 2572.968 X
Rural population 1222.03 X 1239.153 X 1255.674 X
Urban population 3964.76 X 4083.476 X 4204.483 X
Total Population - Both sexes 2807.235 X 2760.385 X 2688.235 X
Total Population - Male 2055.936 X 2005.391 X 1953.675 X
Qatar Total Population - Female 751.299 X 754.994 X 734.561 X
Rural population 22.293 X 21.355 X 20.497 X
Urban population 2721.608 X 2770.452 X 2819.901 X
Total Population - Both sexes 35827.36 X 35997.11 X 35950.4 X
Total Population - Male 20836.09 X 20886.85 X 20766.25 X
Saudi Arabia Total Population - Female 14991.27 X 15110.25 X 15184.15 X
Rural population 5440.3 X 5454.064 X 5462.868 X
Urban population 28700.36 X 29255.58 X 29799.82 X
Total Population - Both sexes 15981.3 X 16537.02 X 17065.58 X
Total Population - Male 8011.375 X 8290.471 X 8555.628 X
Somalia Total Population - Female 7969.926 X 8246.544 X 8509.953 X
Rural population 8513.289 X 8674.136 X 8836.924 X
Urban population 7122.882 X 7431.038 X 7752.272 X
Total Population - Both sexes 43232.09 X 44440.49 X 45657.2 X
Total Population - Male 21607.64 X 22209.43 X 22814.72 X
Sudan Total Population - Female 21624.45 X 22231.05 X 22842.48 X
Rural population 27661.51 X 28191.78 X 28720.85 X
Urban population 14852.59 X 15349.42 X 15871.59 X
Total Population - Both sexes 20098.25 X 20772.6 X 21324.37 X
Syrian Arab Total Population - Male 10073.93 X 10407.67 X 10681.14 X
Republic Total Population - Female 10024.32 X 10364.93 X 10643.23 X
Rural population 8357.829 X 8426.159 X 8593.515 X
Urban population 10141.35 X 10498.28 X 10992.59 X
Total Population - Both sexes 12049.31 X 12161.72 X 12262.95 X
Total Population - Male 5962.724 X 6012.828 X 6057.044 X
Tunisia Total Population - Female 6086.59 X 6148.895 X 6205.901 X
Rural population 3622.883 X 3622.337 X 3618.979 X
Urban population 8160.285 X 8280.799 X 8399.535 X
Total Population - Both sexes 9211.657 X 9287.289 X 9365.145 X
United Arab Total Population - Male 6443.813 X 6475.368 X 6512.037 X
Emirates Total Population - Female 2767.844 X 2811.921 X 2853.108 X
Rural population 1279.098 X 1271.026 X 1262.173 X
Urban population 8402.99 X 8542.144 X 8675.306 X
Total Population - Both sexes 31546.69 X 32284.05 X 32981.64 X
Total Population - Male 15953.58 X 16320.98 X 16668.43 X
Yemen Total Population - Female 15593.11 X 15963.07 X 16313.21 X
Rural population 18554.55 X 18779.89 X 18995.83 X
Urban population 11025.44 X 11465.41 X 11914.98 X
X : Figure from international organizations
Source: FAO Statistical Division 2022
Arab Agriculture 2023 385

