Page 172 - AA 2023 Year Book Website
P. 172
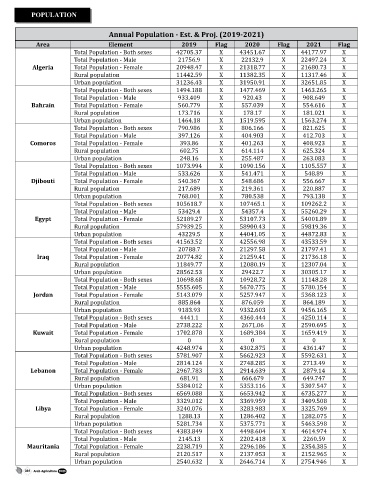
POPULATION
Annual Population - Est. & Proj. (2019-2021)
Area Element 2019 Flag 2020 Flag 2021 Flag
Total Population - Both sexes 42705.37 X 43451.67 X 44177.97 X
Total Population - Male 21756.9 X 22132.9 X 22497.24 X
Algeria Total Population - Female 20948.47 X 21318.77 X 21680.73 X
Rural population 11442.59 X 11382.35 X 11317.46 X
Urban population 31236.43 X 31950.91 X 32651.85 X
Total Population - Both sexes 1494.188 X 1477.469 X 1463.265 X
Total Population - Male 933.409 X 920.43 X 908.649 X
Bahrain Total Population - Female 560.779 X 557.039 X 554.616 X
Rural population 173.716 X 178.17 X 181.021 X
Urban population 1464.18 X 1519.595 X 1563.274 X
Total Population - Both sexes 790.986 X 806.166 X 821.625 X
Total Population - Male 397.126 X 404.903 X 412.703 X
Comoros Total Population - Female 393.86 X 401.263 X 408.923 X
Rural population 602.75 X 614.114 X 625.324 X
Urban population 248.16 X 255.487 X 263.083 X
Total Population - Both sexes 1073.994 X 1090.156 X 1105.557 X
Total Population - Male 533.626 X 541.471 X 548.89 X
Djibouti Total Population - Female 540.367 X 548.686 X 556.667 X
Rural population 217.689 X 219.361 X 220.887 X
Urban population 768.001 X 780.538 X 793.138 X
Total Population - Both sexes 105618.7 X 107465.1 X 109262.2 X
Total Population - Male 53429.4 X 54357.4 X 55260.29 X
Egypt Total Population - Female 52189.27 X 53107.73 X 54001.89 X
Rural population 57939.25 X 58900.43 X 59819.36 X
Urban population 43229.5 X 44041.05 X 44872.83 X
Total Population - Both sexes 41563.52 X 42556.98 X 43533.59 X
Total Population - Male 20788.7 X 21297.58 X 21797.41 X
Iraq Total Population - Female 20774.82 X 21259.41 X 21736.18 X
Rural population 11849.77 X 12080.19 X 12307.04 X
Urban population 28562.53 X 29422.7 X 30305.17 X
Total Population - Both sexes 10698.68 X 10928.72 X 11148.28 X
Total Population - Male 5555.605 X 5670.775 X 5780.154 X
Jordan Total Population - Female 5143.079 X 5257.947 X 5368.123 X
Rural population 885.864 X 876.059 X 864.189 X
Urban population 9183.93 X 9332.603 X 9456.165 X
Total Population - Both sexes 4441.1 X 4360.444 X 4250.114 X
Total Population - Male 2738.222 X 2671.06 X 2590.695 X
Kuwait Total Population - Female 1702.878 X 1689.384 X 1659.419 X
Rural population 0 X 0 X 0 X
Urban population 4248.974 X 4302.875 X 4361.47 X
Total Population - Both sexes 5781.907 X 5662.923 X 5592.631 X
Total Population - Male 2814.124 X 2748.285 X 2713.49 X
Lebanon Total Population - Female 2967.783 X 2914.639 X 2879.14 X
Rural population 681.91 X 666.679 X 649.747 X
Urban population 5384.012 X 5353.116 X 5307.547 X
Total Population - Both sexes 6569.088 X 6653.942 X 6735.277 X
Total Population - Male 3329.012 X 3369.959 X 3409.508 X
Libya Total Population - Female 3240.076 X 3283.983 X 3325.769 X
Rural population 1288.13 X 1286.402 X 1282.075 X
Urban population 5281.734 X 5375.771 X 5463.598 X
Total Population - Both sexes 4383.849 X 4498.604 X 4614.974 X
Total Population - Male 2145.13 X 2202.418 X 2260.59 X
Mauritania Total Population - Female 2238.719 X 2296.186 X 2354.385 X
Rural population 2120.517 X 2137.053 X 2152.965 X
Urban population 2540.632 X 2646.714 X 2754.946 X
384 Arab Agriculture 2023

